【前沿速递】 成人重症新冠肺炎住院患者抗体反应特征与临床结局关联研究:中国洛匹那韦/利托那韦RCT研究(LOTUS China)队列分析
作者:中日医院临床医学研究所 国家呼吸医学中心 范国辉
2020年8月25日,临床感染疾病杂志《Clinical Infections Diseases》在线发表了由曹彬教授和王建伟教授并列通讯作者,任丽丽、范国辉、吴文娟、郭丽、王业明和李霞等作为共同第一作者,探究新冠肺炎住院患者抗体反应与临床结局关联的研究。该研究由中日医院呼吸中心、医科院病原所和武汉市金银潭医院共同完成,基于中国洛匹那韦/利托那韦RCT研究(LOTUS China)队列,发现重症COVID-19患者可产生抗SARS-CoV-2-N、S、RBD的IgM,IgG抗体以及中和抗体,但尚无充足证据显示上述抗体与临床结局(死亡、临床改善)有关联。N-、S-和RBD-IgG抗体滴度与病毒载量呈负相关。死亡患者的恢复期S-IgG滴度更低,提示对于该抗体水平低的患者应予以重视。

原文链接:https://academic.oup.com/cid/advance-article/doi/10.1093/cid/ciaa1247/5896896
背景
新型冠状病毒肺炎(COVID-19)在过去几个月里引起了全球大流行,导致了近百万人的死亡。至2020年8月,仅有两种药物在随机对照临床试验中显示对新冠病毒有微弱疗效,而疫苗尚未投入使用。研究体液免疫特征对于研发诊断技术和评估预后显得尤为重要,并且了解中和抗体(NAbs)的动态变化是疫苗开发和抗体治疗的基础,如针对SARS-CoV和MERS-CoV的研究显示,刺突蛋白(S)的S1的氨基端(NTD),受体结合区域(RBD)和S2的很多片段因为可以诱发强力的中和抗体反应,可用来作为靶点研发疫苗。
基于近期研究结果,从COVID-19患者采集的恢复期血浆和抗体可对预防和治疗该病有重要意义,然而目前对NAbs和体液免疫动态变化与COVID-19临床转归的关联了解甚少。为此,我们基于LOTUS China(中国洛匹那韦/利托那韦临床试验)研究中191名住院COVID-19患者,对重症COVID-19患者体内抗体反应的动态变化及其与病毒清除和临床结局的关系进行了分析。
研究方法
LOTUS China研究是一项2020年1月在中国湖北省武汉市金银潭医院伦理委员会审核通过(KY-2020-02.01)后开展的随机对照、开放标签临床实验(注册号ChiCTR2000029308)。本研究基于LOTUS China研究队列中的191名患者,由中日医院呼吸中心、医科院病原所和武汉市金银潭医院共同完成。在入组后第1、5、10、14、21和28天共收取576份血液和576份咽拭子样本,直到患者出院或死亡为止,用以检测咽拭子病毒RNA载量和血抗体随时间变化情况。血标本中的IgM、IgG和NAbs滴度使用酶联免疫吸附法(ELISA)和微量中和法测定。抗N、S和RBD的血IgM和IgG抗体均由医科院病原所的研究人员通过ELISA法检测,微量中和法检测则在有资质的生物安全三级的实验室中进行。通过局部加权回归法描绘抗体滴度和阳性率的变化,使用调整随机效应的混合效应模型进行抗体滴度与病毒载量关联的单因素分析和调整年龄、性别和发病到抽样天数的多因素分析。
主要结果
1、本研究入组患者191名患者,其中152人存活,39人死亡,死亡组年龄高于存活组。

2、研究抗体阳性率和滴度的动态变化

图A可见,所有特异性抗体在发病后迅速出现,并在发病15天达到平台期;在第28天,各抗体阳性率分别为N-IgM 91.1%,S-IgM 97.8%,RBD-IgM 100%, N-IgG 100%, S-IgG 98.9% , RBD-IgG 100%,NAbs 91.1%。各抗体阳性率在死亡和存活患者之间无差异。入组后28天缓解和未缓解患者的抗体反应无统计学差异。图B可见,IgG抗体滴度均高于IgM,RBD-IgG最高,其次是S-IgG, N-IgG, RBD-IgM, S-IgM和 N-IgM。抗N、S、RBD的IgM抗体持续上升直至发病后第15-21天,抗N、S、RBD的IgG和NAbs上升直至第22-28天。
3、生存组和死亡组的抗体变化差异

上图所示,仅第22-28天的S-IgG滴度在死亡患者体内显著低于存活者(P=0.020),其他时间点均未见差异。
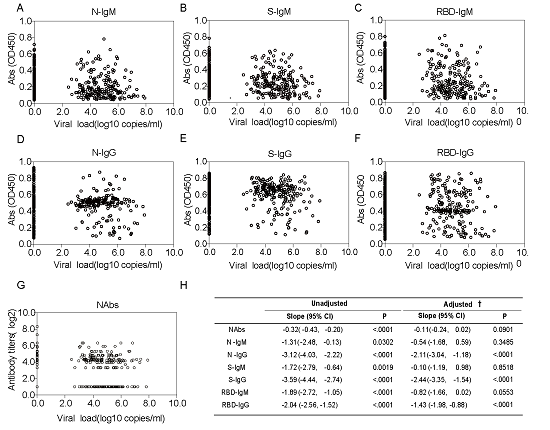
4、抗体滴度与病毒清除的关系

上图所示,抗体滴度与病毒载量的关联在调整年龄、性别和发病时间的多因素随机效应模型中,仅有N-IgG (-2.11, 95% CI -3.04 to -1.18, P < 0.0001), S-IgG (-2.44, 95% CI -3.35 to -1.54, P< 0.0001) 和RBD-IgG (-1.43, 95% CI -1.98 to -0.88, P< 0.0001) 有统计学意义。
局限性
1、入组患者主要为重症COVID-19住院患者,缺少轻症和无症状感染者,因此未能全面描述全部临床表型下的抗体特征。进一步研究需在不同严重程度患者中分析抗体的动态变化,并进行更长时间的随访;
2、本研究样本量仅191人,未来需要更大规模研究;
3、其他抗冠状病毒抗体是否有交叉反应仍待进一步探索。
研究结论
通过分析重症COVID-19患者抗体动态反应,发现大部分患者中有抗N、S和RBD抗体的体液免疫反应,并且抗N、S和RBD的IgG抗体与病毒清除有关联。死亡患者的恢复期S-IgG滴度更低,提示对于该抗体水平低的患者应予以重视。中和抗体阳性和滴度未发现与临床结局有显著关联,对以诱导中和抗体为目标的疫苗研发需要慎重考虑。本研究对了解疾病病理,评估新疗法和疫苗研发有一定的参考价值。
研究意义
1、我们的研究是对重症患者疾病进展情况的重要补充,体液免疫在病毒清除和预防感染中有着核心意义。
2、本研究发现恢复期抗体水平与不良事件的关系,提示S-IgG水平对不良结局的提示价值。
3、本研究进一步发现N-IgG滴度和病毒载量的负相关关系。是否通过抗体依赖的细胞介导的细胞毒性作用参与病毒清除仍需进一步研究。
4、本研究显示,NAbs在存活和死亡患者中的水平无显著性差异,且NAbs滴度与病毒载量无相关性。这一结果提示NAbs在疾病过程中不足以完全清除SARS-CoV-2。SARS-CoV2存活和死亡患者的NAbs水平没有显著性差异,这一点与SARS-CoV感染者不同,然而造成这一差异的具体机制仍不明确。
5、研究提示疫苗设计中也需将细胞免疫考虑在内。
展望
我们对于SARS-CoV-2感染的体液免疫反应仍有许多未了解的领域,比如IgM抗体反应变化;IgA和粘膜免疫对再感染的保护作用;NAbs持续时间;中和反应对无症状或轻症患者的意义;人间流行的其他冠状病毒既存免疫对COVID-19的影响等,未来研究需要回答上述问题。

范国辉
2016年毕业于北京协和医学院,同年进入中日友好医院临床医学研究所临床医学研究数据与项目管理平台,现任研究实习员。主要研究方向为呼吸疾病流行病与卫生统计学,参与多项国家课题、药物临床试验等,以一作或并列一作发表SCI 文章10余篇,累计影响因子170。

任丽丽
中国医学科学院病原生物学研究所副所长,克里斯托弗·梅里埃实验室副主任、研究员、博士研究生导师。以第一或共同通讯作者于Lancet、Am J Respir Crit Care Med 、Emerg Infect Dis等杂志发表多篇文章。2015年和2016年获教育部高等学校科学研究优秀成果奖科技进步二等奖和一等奖(第二完成人)。获得2017年度北京协和医学院优秀教师称号,2018年度中国医学科学院-梅里埃研究院青年科学家奖,2019年度中国女医师协会五洲女子科技奖基础医学科研创新奖。

吴文娟
主任医师,武汉市金银潭医院重症医学科科主任
学术任职:
中华医学会结核病重症专业委员会常务委员
湖北省医学会重症医学分会委员
湖北省病理生理学会危重病医学专业常务委员
湖北省病理生理学会呼吸专业常务委员
湖北省微循环学会重症专业委员会委员
湖北省生物医学工程学会体外生命支持专业委员会委员
学术成绩:
近五年SCI论文2篇
重症急性呼吸道传染病优化抗病毒药物治疗方案的研究(科技部重大专项)(阿比朵尔联合奥司他韦与奥司他韦单药治疗重症流感的多中心、双盲、随机化临床研究)
审稿|曹 彬 教授
审稿|陈宏斌 研究员
审稿|余方友 教授
上一篇:
下一篇:
