
国家呼吸医学中心中日医院王辰院士、杨汀教授和中国医学科学院北京协和医学院关天嘉研究员团队近日首次基于大规模全国代表性人群开发了舒张后肺功能参考值公式,并评估了使用舒张后参考值公式对疾病负担评估的影响,相关成果近日在线发表在AmericanJournalofRespiratoryandCriticalCareMedicine(IF=24.7),题为ImpactofUsingPre-andPost-BronchodilatorSpirometryReferenceValuesinaChinesePopulation。
本研究是王辰院士牵头开展的“中国成人肺部健康研究”继阐明我国慢阻肺病、支气管哮喘、小气道疾病等流行特征后,又一重要成果,填补了我国相关领域的以下空白。
(一)首次开发了基于国人代表性人群的肺功能参考值公式
肺功能检测指标异常程度的解读依赖于其参考值,舒张后肺功能是准确评价慢阻肺病疾病负担和严重程度的关键指标。然而,目前临床中参考值公式均是基于舒张前肺功能指标建立的,与指南要求存在出入,国内外均缺乏基于大规模代表性人群的舒张后肺功能参考值公式。本研究基于“中国成人肺部健康研究”这一具有全国代表性的大型流行病学调查,填补了舒张后肺功能参考值计算这个研究空白,建立了包括FEV1、FVC、FEV1/FVC、PEF、小气道指标等在内的舒张后参考值公式,为准确解读国人肺功能检测结果和提高临床诊疗准确性奠定了基础。


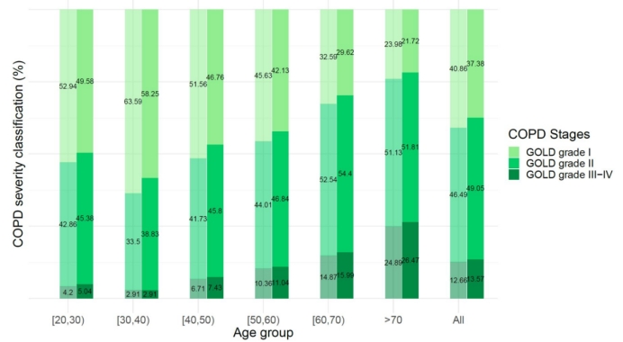
(二)首次评估了基于舒张后参考值公式对慢阻肺病负担的影响
本研究发现,与post-BDFEV1/FVC大于舒张后LLN的人群相比,post-BDFEV1/FVC小于舒张后LLN但大于舒张前LLN的人群呼吸道症状更多,其它肺功能检测指标也更低。使用post-BDFEV1参考值公式会将更多慢阻肺病患者分类到GOLDII-IV级中。使用舒张后肺功能参考值可以识别更多慢阻肺高风险患者。

王辰院士、杨汀教授和关天嘉研究员是本研究的共同通讯作者,国家呼吸医学中心中日医院黄可医师和中国医学科学院北京协和医学院韩雪燕博士为本研究的共同第一作者。本研究受到中国医学科学院和国家自然科学基金委资助。
国家呼吸医学中心 © 版权所有 京ICP备18042996号
京卫网审字﹝2008﹞第25号 京公网安备110402450042号2020