2022年9月28日,国家呼吸医学中心/中日友好医院曹彬教授、武汉市金银潭医院黄朝林教授团队合作在柳叶刀子刊《EClinicalMedicine》杂志在线发表题为“Lung-functiontrajectoriesinCOVID-19survivorsafterdischarge:Atwo-yearlongitudinalcohortstudy”的研究论文。研究描绘了新冠肺炎康复者出院后2年肺功能的变化轨迹,发现急性期使用激素是肺功能恢复阶段的独立保护因素。

原文链接:https://www.thelancet.com/retrieve/pii/S2589537022003984
doi:10.1016/j.eclinm.2022.101668
研究设计:这是一项前瞻性纵向队列研究,根据疾病严重程度进行分层随机抽样,确定在出院后6个月、1年和2年参加到院随访时需行肺功能检查者。纳入2020年1月27日至2020年5月29日金银潭医院出院的新冠患者,按照住院时接受的最高级的呼吸支持方式进行疾病严重程度划分,并分层随机抽样;7分等级量表(下表)中5分和6分患者全部纳入,共有129例,3分和4分患者按照1:2比例进行抽样;最终确定进行特殊检查的患者516例。

研究内容:采用肺功能检查、mMRC呼吸困难评分进行肺功能评估,采用6分钟步行试验(6分钟步行距离-6MWD、6MWD占预测值的百分比)进行活动能力评估,使用EQ-VAS评分进行生活质量评价。
研究对象:在连续的随访情况中,6个月时为2020.6.16-2020.9.3,349例完成随访;1年随访时为2020.12.16-2021.2.7,244例完成随访;2年随访时为2021.11.16-2022.1.10,268例完成随访。最终,288名完成至少2次肺功能检查的COVID-19康复者纳入最终分析。

结局定义:
肺功能异常:肺功能参数实测值低于80%预计值;
限制性通气功能障碍:用力肺活量(FVC)或肺总量(TLC)低于80%预计值,但FEV1/FVC>70%;
弥散功能障碍:一氧化碳弥散量(DLco)低于80%预计值;
肺功能稳定或提升:两次肺功能检查结果间,FVC,TLC和DLco实测值占预计值百分比的差值≥0;
肺功能下降:两次肺功能检查结果间,FVC,TLC实测值占预计值百分比的差值<0或5%,DLco的差值<0或10%;
呼吸困难:mMRC≥1分;
LongCOVID:至少有一个COVID-19后新出现或较感染前加重的症状。
研究结果:研究参与者平均年龄为55岁,61.1%为男性,不同疾病严重程度的构成基本为1:2:1;高血压、糖尿病、心血管疾病是最常见的合并症;34.7%在住院期间接受激素治疗,重症患者中的比例更高(76.3%vs24.3%vs7.4%);12.5%入住ICU,入住ICU的平均时长为17.5天。

LongCOVID的发生率在出院后2年(62.5%)较出院后6个月(69.1%)下降,较出院后1年(57.6%)升高;而限制性通气功能障碍和肺弥散功能下降的比例则随时间逐渐升高;另外,重症的COVID-19康复者发生肺功能异常的比例更高,均与研究队列整体变化趋势一致。

从肺功能的变化来看,感染原始株的COVID-19康复者肺功能的恢复大致可以分成两个阶段。第一个阶段是出院后6个月至1年,不同疾病严重程度康复者总体上FVC呈好转趋势,而TLC、DLco呈下降趋势;3分、4分组康复者肺功能变化总体趋势一致,且5-6分组康复者的FVC、TLC、DLco均呈好转趋势,肺功能的恢复程度显著高于3、4分组;但在更长的随访周期里,即出院后1至2年的第二个阶段,无论初始疾病严重程度如何,康复者肺功能总体呈下降趋势且未见组间差异。

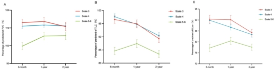
从下图可以看到,3、4分组康复者的肺功能变化趋势大致相同,FVC%pred在出院后6个月至1年中,轻度提升后出现下降,而TLC%pred和DLco%pred整体呈下降趋势。5-6分组康复者肺功能在出院后6个月至1年提升后转为下降趋势,且肺功能水平持续低于3、4分组康复者。出院1年后,不同疾病严重程度康复者均出现以TLC%pred和DLco%pred为主的肺功能下降趋势。

注:图A、B、C分别为不同疾病严重程度康复者FVC、TLC、DLco实测值占预计值百分比随时间变化。
我们也对肺功能变化的影响因素进行了分析,发现住院期间使用激素治疗是出院后6个月至1年肺功能好转的独立保护因素;但未见对出院后1年至2年肺功能下降的独立影响因素。

根据上述的研究结果,我们做出COVID-19康复者肺功能变化的模拟曲线(见下图),在感染急性期时,肺功能有显著下降,在感染后半年时间内,几乎所有的恢复期患者的肺功能都有快速提升,但之后又有显著、缓慢的下降,而且下降趋势快于没有罹患过新冠的人群。

总结:COVID-19康复者出院后2年肺功能的变化轨迹大致分为两个人群和两个阶段,即3-4分组的中重症康复者和5-6分组的危重症康复者的两个人群,均经历肺功能恢复和下降的两个阶段;急性期使用激素治疗是肺功能恢复阶段的独立保护因素;疾病严重程度和急性期治疗对以TLC和DLco为主的肺功能下降阶段无影响,其年下降率均超过一般人群(TLC:220mlvs44.0ml;DLco:0.2mmol/min/kPavs0.04mmol/min/kPa)。
我们同时也观察了COVID-19康复者呼吸困难情况变化:发现6个月随访和1年随访时,危重症康复者中呼吸困难的比例显著高于中重症康复者;不同疾病严重程度的COVID-19康复者中呼吸困难的比例随时间逐渐下降;但生活质量在随访过程中无明显变化。

活动能力的变化:出院后6个月,危重症康复者的活动能力显著低于中重症康复者;不同疾病严重程度康复者的活动能力随时间逐渐提升;危重症康复者较中重症康复者的活动能力提升更多;多因素分析结果显示,高龄、女性是影响康复者活动能力的独立危险因素。

肺功能变化对COVID-19康复者活动能力的影响:肺功能的轻度变化对活动能力无明显影响,在肺功能明显下降时,即FVC%pred或TLC%pred>5%,DLco%pred>10%时,6MWD有数值上的下降(但无统计学差异),说明肺功能的显著改变会影响综合的心肺功能,但目前观察到的肺功能变化对康复者生活质量未见显著影响。

(图文内容由呼吸界编辑整理自CTS2022)
国家呼吸医学中心 © 版权所有 京ICP备18042996号
京卫网审字﹝2008﹞第25号 京公网安备110402450042号2020